Coauthor Network Analysis

Exploring collaboration patterns across 192 scholars and 225 research connections

Network at a Glance

192

Scholars in Network

225

Collaboration Edges

2.18M

Total Citations

11

Research Communities

0.734

Network Modularity

11,328

Avg Citations/Author

Overview

This analysis examines the structure and characteristics of my coauthor network, spanning 192 scholars across leading research institutions worldwide. Using network analysis and bibliometric methods, we uncover patterns of collaboration, identify key researchers, and map research communities in economics and related fields.

🔍 Key Finding: Strong Community Structure

The network exhibits remarkably high modularity (0.734), indicating well-defined research communities centered around distinct areas: education economics, experimental/behavioral economics, development economics, and labor economics. Despite this clustering, the network remains fully connected with me serving as a primary bridge between communities (betweenness centrality: 0.763).

📊 Degree Distribution

The network follows a power-law-like distribution typical of academic collaboration networks, with most authors having few connections while a small number of highly connected authors serve as hubs.

Degree Distribution Analysis

Average degree: 2.34 | Median: 1 | Max: 24 | The log-log plot (right) suggests scale-free network properties.

📚 Citation Impact Analysis

Citation counts reveal the scholarly impact across the network, with a highly skewed distribution reflecting the concentration of citations among top researchers.

Citation Distribution

Top Authors in Network

Rank Author Citations Institution Depth Research Field

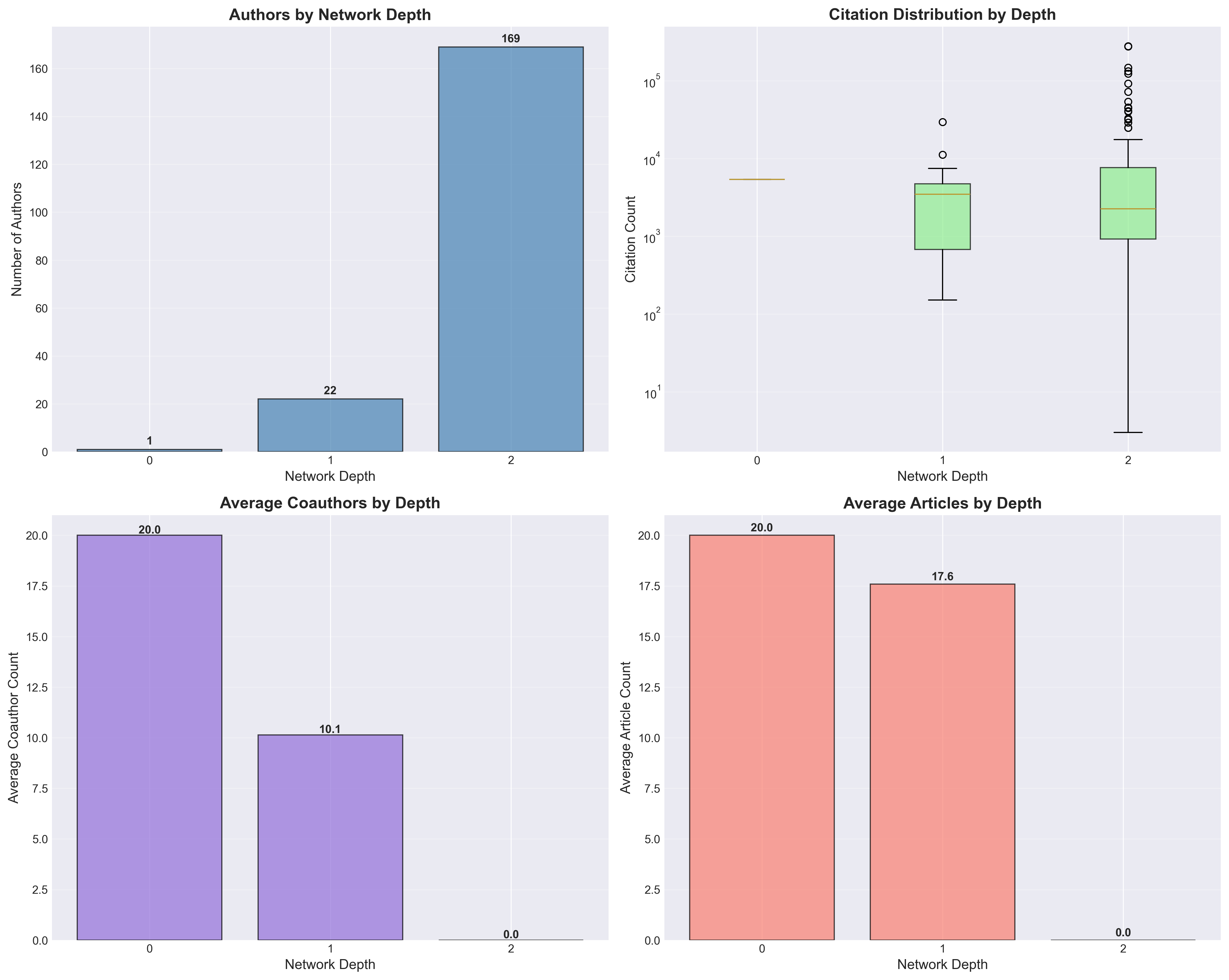
🌐 Network Depth Analysis

Authors are categorized by their distance from me (the seed node): direct coauthors (depth 1) and coauthors-of-coauthors (depth 2). The majority (88%) are at depth 2, reflecting the network's breadth.

Network Depth Analysis

Depth 0 (Seed)

1 author (0.5%)

Christopher Neilson

Depth 1 (Direct)

22 authors (11.5%)

Direct coauthors with active collaborations

Depth 2 (Extended)

169 authors (88.0%)

Coauthors of coauthors, expanding reach

🏛️ Institutional Distribution

The network spans top research universities worldwide, with strong representation from Harvard, University of Chicago, Yale, Berkeley, and leading international institutions.

Top Institutions

Top U.S. Institutions

  • 8 Harvard University
  • 7 University of Chicago
  • 5 Yale University
  • 5 UC Berkeley
  • 2 Princeton University
  • 2 Stanford University

International Presence

  • 5 Pontificia Universidad Católica de Chile
  • 3 Stockholm School of Economics
  • 2 University College London
  • 4 World Bank

🔗 Network Metrics Correlation

Strong positive correlations exist between citation counts, article productivity, and network position, suggesting that well-connected authors tend to be more productive and highly cited.

Correlation Matrix

💡 Insights

  • Citations and degree show moderate positive correlation, indicating that well-connected authors tend to have higher impact
  • Depth has negative correlation with citations and connections, as expected (closer collaborators tend to be more established)
  • Article count and citations are positively correlated, though many factors influence citation rates

Research Communities

Using the Louvain algorithm, we identified 11 distinct research communities within the network. These communities reflect different research areas and institutional clusters.

Community 1: Education Economics (26 members)

Top Scholars:

  • Bridget Terry Long (Harvard)
  • Joshua Goodman (Boston Univ)
  • Christina Weiland (Michigan)

Focus: Education policy, school choice, college access

Community 2: Experimental Economics (20 members)

Top Scholars:

  • Colin Camerer (Caltech)
  • Brian Nosek (UVA)
  • Magnus Johannesson (Stockholm)

Focus: Behavioral economics, replication, experimental methods

Community 3: Development Economics (19 members)

Top Scholars:

  • Daron Acemoglu (MIT)
  • James Robinson (Chicago)
  • Norman Loayza (World Bank)

Focus: Economic development, institutions, growth

🌉 Bridging Communities

My position in the network serves as a critical bridge connecting these distinct research communities, with the highest betweenness centrality (0.763). This central position facilitates knowledge transfer and collaboration across traditional disciplinary boundaries, particularly linking education economics with broader labor and development economics research.

📐 Methodology

Data Collection:

  • Network data sourced from Google Scholar via SerpAPI crawler
  • 2-hop network: direct coauthors and their coauthors
  • Generated: November 2025

Analysis Methods:

  • Network metrics: Degree centrality, betweenness centrality, clustering coefficient
  • Community detection: Louvain algorithm with modularity optimization
  • Bibliometrics: Citation analysis, productivity measures
  • Tools: NetworkX (Python), pandas, matplotlib, seaborn

Network Properties:

  • Density: 0.0123 (sparse network, typical for academic collaboration)
  • Average path length: 3.47 (small-world property)
  • Network diameter: 4 (maximum distance between any two authors)
  • Clustering coefficient: 0.068 (moderate local clustering)

📥 Access the Data & Code

All analysis code, data, and visualizations are available for download and replication.

📊 Download Statistics (JSON) 📓 Jupyter Notebook 🐍 Python Script 📖 Documentation

Last updated: November 2025 | Network includes 192 scholars and 225 collaboration edges | Methodology Details